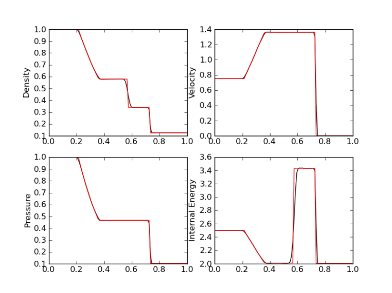
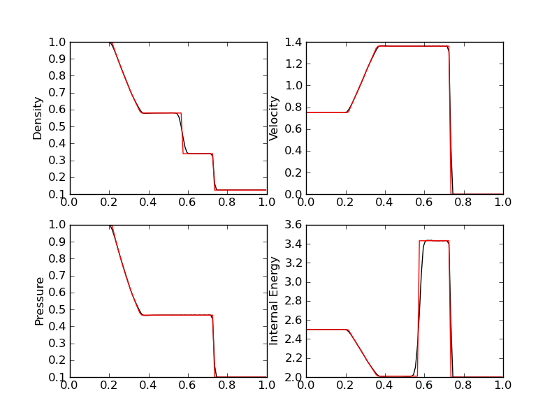
Standard Tests without Metrics Stall Progress 04 Tuesday Oct 2016 Original size at 800 × 600 ≈ Leave a comment