“Big Science”
After providing a deep technical discussion of an important paper last time, I thought a complete change of pace might be welcome. I’m going to talk about “big science” and why it is good science. The standard thought about science today is that small-scale researcher-driven (i.e., curiosity-driven) science is “good science” and “big science” is bad science. I am going to spend some time explaining why I think this is wrong on several accounts.
First, let’s define big science with some examples. The archetype of big science is the Manhattan project, which if you aren’t aware is the effort by the United States (and Great Britain) to develop the atomic bomb during World War II. This effort transformed into an effort to maintain scientific supremecy during the Cold War and included the development of the hydrogen bomb. Many premier institutions were built upon these efforts along with innumerable spinoffs that power today’s economy, and may not have been developed without the societal commitment to National security associated with that era. A second archetype is the effort to land a Man (an American one) on the Moon during the 1960’s. Both efforts were wildly successful and captured to collective attention of the World. The fact is that both projects were born from conflict, in one case a hot war to defeat the Nazis and the second to beat the Soviets during the cold war. Today it is hard to identify any societal goals of such audacity or reach. In fact, I am sadly at a loss to identify anything right now with the National genome project being the last big National effort.
One of the keys to the importance and power of big science is motivation. The goals of big science provide a central narrative and raison d’etre for work. It also provides constraints on work, which curiously spurs innovation rather than stifles it. If you don’t believe me, visit the Harvard Business Review and read up on the topic. Perhaps the best years of my professional career were spent during the early days of the science-based stockpile stewardship program (SBSS) where goals were lofty and aspirations were big. I had freedom to explore science that was meaningfully tied to the goals of the project. It was the combination of resources and intellectual freedom tempered by the responsibility to deliver results to the larger end goals.
The constraints of achieving a larger goal act to serve as continual feedback and course correction to research, and provide the researcher with a rubric to guide work. The work on the atomic bomb and the subsequent cold war provided an immensely important sense of reason to science. The quality of the science done in the name of these efforts was astounding, yet it was conspicuously constrained to achieving concrete goals. Today there are no projects with such lofty or existentially necessary outcomes. Science and society itself is much poorer for it. The collateral benefits for society as equally massive including ideas that grow the economy and entire industries from the side effects of the research. I shouldn’t have to mention that today’s computer industry; telecommunication and the Internet were all direct outgrowths of cold war-driven defense-related research efforts.
Why no big science today? The heart of the reason goes to the largely American phenomena of overwhelming distrust of government that started in the 70’s and is typified by the Watergate scandal. Government scandal mongering has become regular sport in the United States, and a systematic loss of trust in everything the government does is the result. This includes science, and particularly large projects. Working at a government lab is defined by a massive amount of oversight, which amounts to the following fact: the government is prepared to waste an enormous amount of money to make sure that you are not wasting money. All this oversight does is make science much more expensive and far less productive. The government is literally willing to waste $10 to make sure that $1 is not wasted in the actual execution of useful work. The goal of a lot of work is not to screw up rather than accomplish anything important.
The second and more pernicious problem is the utter and complete inability to take risks in science. The term “scheduled break-through” has become common. Managers do very little management, and mostly just push paper around while dealing with the vast array of compliance driven initiatives. Strategic thinking and actual innovation only happen every so often, and the core of government work is based around risk adverse choices, which ends up squandering the useful work of scientists across the country. The entire notion of professional duty as a scientist has become a shadow of what it once was.
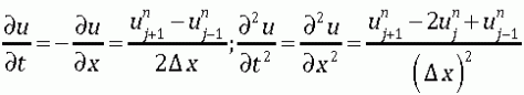
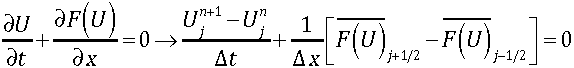
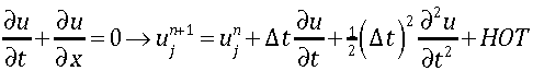
Frankly, too much of what science does get funded today is driven by purely self-serving reasons that masquerade as curiosity. When science is purely self-defined curiosity it can rapidly become an intellectual sandbox and end up in alleys and side streets that offer no practical benefit to society. It does, perhaps provide intellectual growth, but the distance between societal needs and utility is often massive. Furthermore, the legacy of pure curiously driven science is significantly overblown and is largely a legend rather than fact. Yes, some purely curiosity driven science has made enormous leaps, but much of the best science in the last 50 years has been defined by big science pushing scientists to solve practical problems that comprise aspect of the overarching goal. The fast Fourier transform (FFT) is a good example, as are most of numerical methods for partial differential equations. Each of these areas had most of its focus derived from some sort of project related to National defense. Many if not most of the legendary curiosity driven scientific discoveries are from before the modern era and are not relevant to today’s World.
The deeper issue is the lack of profoundly important and impactful goals for the science to feed into. This is where big science comes in. If we had some big important societal goals for the science to contribute toward, it would make all the difference in the world. If science were counted on to solve problems rather than simply not screw something up, the world would be a better place. There are a lot of goals worth working on; I will try to name a few as I close.
How do we deal with climate change? And the closely related issue of meeting our energy needs in a sustainable way?
How do we tame the Internet?
How can we maintain the supply of clean water needed for society?
Explore the Moon, Mars and the solar system?
Can we preserve natural resources on the Earth by using extraterrestrial resources?
What can we do to halt the current mass extinction event? Or recover from it?
How can computer technology continue to advance given the physical limits we are rapidly approach?
How can genetics be used to improve our health?
How can we feed ourselves in a sustainable way?
What is our strategy for nuclear weapons for the remainder of the century?
How should transform our National defense into a sustainable modern deterrent without bankrupting the Country?
How can we invest appropriately in a National infrastructure?
As you can see, we have more than enough things to worry about; we need to harness science to help solve our problems by unleashing it, and providing it some big, audacious goals to work on. Let’s use big science to get big results. Unfortunately, a great deal blocks progress. First and foremost it is the pervasive lack of trust and confidence of the public in government primarily, and science in general. The fact is that the combination of big important goals, societal investment (i.e., government), and scientific talent is the route to prosperity.








, (9)

